Appearance
Sesiones Más y Menos Concurridas
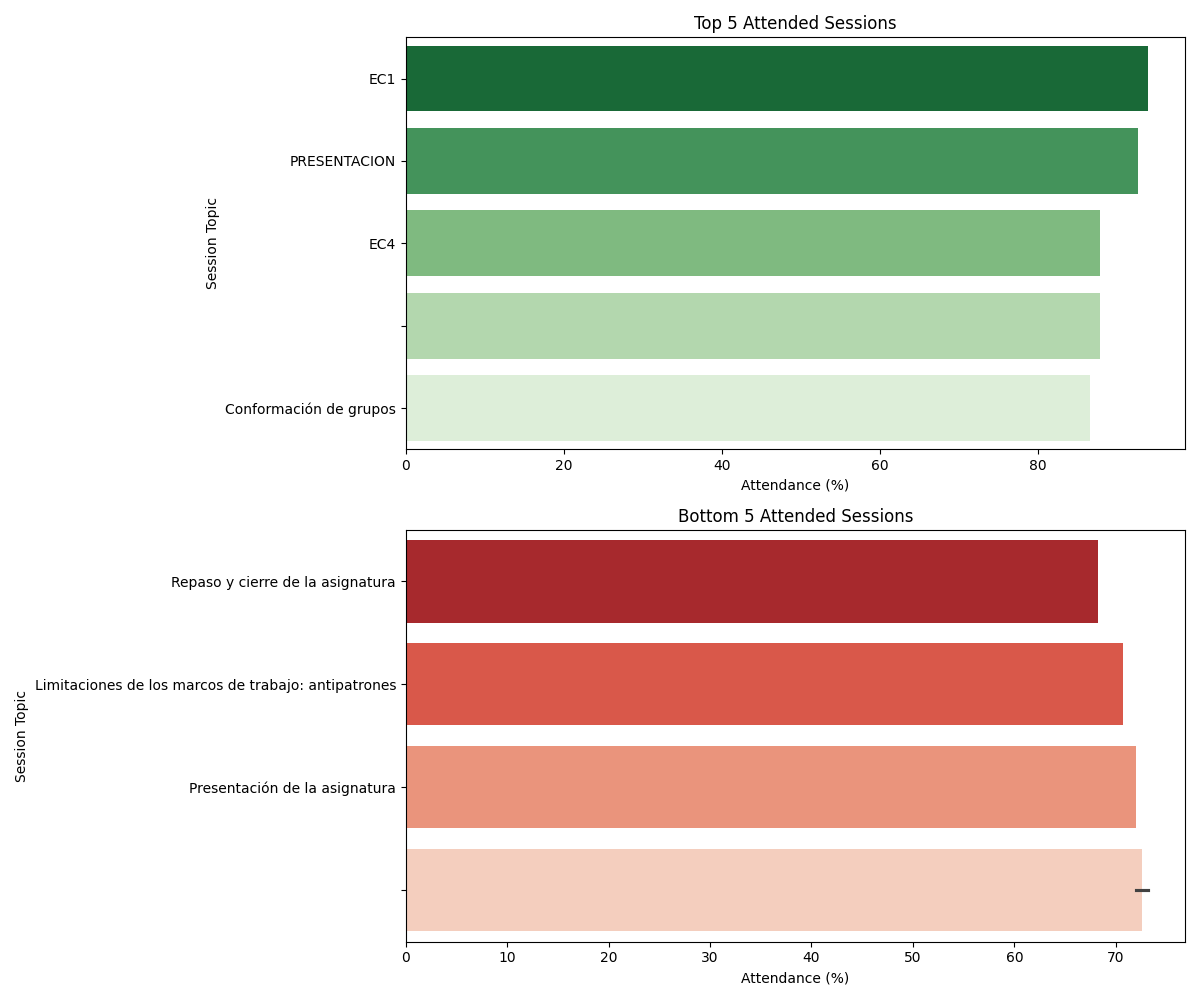
Identificar las sesiones con mayor y menor asistencia puede ayudar a entender qué temas o formatos son más atractivos o si hubo factores externos afectando la participación.

Comparativa de las 5 sesiones con mayor y menor asistencia.
Análisis de las Sesiones
Sesiones con Mayor Asistencia (Top 5)
- EC1 (aprox. 94%): Las sesiones de Evaluación Continua claramente motivan la máxima asistencia, lo cual es esperado.
- PRESENTACION (aprox. 93%): Las presentaciones de alumnos también generan alta participación.
- EC4 (aprox. 88%): Similar a EC1, otra sesión de evaluación.
- (Tema Vacío) (aprox. 88%): Corresponde a la sesión 16 (fecha 28/03/2025). Sería útil identificar qué se trató en esta sesión para entender su alta asistencia.
- Conformación de grupos (aprox. 87%): Una actividad inicial clave y participativa.
Sesiones con Menor Asistencia (Bottom 5)
- Repaso y cierre de la asignatura (aprox. 68%): Es común ver una caída en la última sesión si no es evaluativa.
- Limitaciones de los marcos de trabajo: antipatrones (aprox. 71%): Podría ser un tema percibido como más teórico o denso.
- Presentación de la asignatura (aprox. 72%): Aunque es la primera, no alcanza los picos de otras sesiones. Esto es relativamente normal.
- (Tema Vacío) (aprox. 72%): Corresponde a la sesión 15 (fecha 24/03/2025). Similar al caso anterior, identificar el contenido ayudaría.
- (Tema Vacío) (aprox. 73%): Corresponde a la sesión 22 (fecha desconocida en el JSON, pero probablemente 18/04/2025 si sigue la secuencia).
Implicaciones
- Evaluaciones y Participación Activa: Las sesiones directamente ligadas a la evaluación (ECx) o que requieren participación activa (presentaciones de alumnos, conformación de grupos) son las más concurridas.
- Temas Teóricos vs. Prácticos: Algunos temas más teóricos o las sesiones finales no evaluativas tienden a tener menor asistencia.
- Sesiones sin Tema Identificado: Es crucial revisar el contenido de las sesiones marcadas como "Tema Vacío" (sesión 1, 15, 16, 22) en el plan de estudios original para entender mejor su rendimiento. La sesión 1 ("%A") del JSON es un artefacto del CSV y debería ignorarse en este ranking si no es una sesión lectiva.
- Mejora Continua: Para las sesiones con baja asistencia, considerar si el contenido puede hacerse más interactivo, relevante o si su temporización dentro del semestre puede ajustarse.
Análisis de Asistencia DSI